吉他吧
| 吉他谱简谱
站内搜索:
您当前的位置:
首页
>
吉他谱
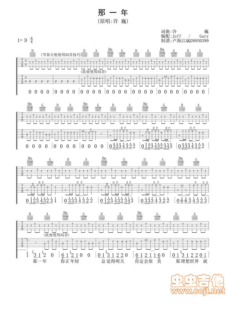
那一年吉他谱
C
调
|
2
页
|
许巍
|
发布时间:2022-01-13 15:47:01
|
阅读:(
)
点赞,顶一下
[04-19]
我爱你亲爱的姑娘吉他谱 布衣乐队 G调
[02-21]
听说吉他谱_丛铭君_弹唱六线谱_高清版
[02-21]
亲爱的那不是爱情吉他谱_张韶涵_G调弹
[05-31]
写给绿的情书吉他谱
[08-23]
月亮惹的祸吉他谱
[04-19]
月亮代表我的心吉他谱_C调男生版_吉他
[01-18]
单身公害吉他谱
本站曲谱部分来源于网络,仅供学习交流分享,本网站不承担任何由于内容的使用所引起的争议及损失。如有侵权,可联系管理员删除处理。
发表评论
用户名:
密码:
验证码:
匿名发表